Типовой ЭСП                                                      - Методы

Обработка результатов

По измеренным значениям оптической плотности исследуемых проб морской воды с помощью градуировочного графика находят концентрацию аммонийного азота (мкг/л).

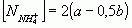
Содержание аммонийного азота в пробах, разбавленных в два и четыре раза, рассчитывают соответственно по формулам

01

02

где а и b - содержание аммонийного азота в разбавленной пробе и безаммиачной воде соответственно.


© 2003 Государственный океанографический институт




Метеорология        Физическая географияКачество вод        Геология            Гидрология          Гидрохимия          Ледовые условия     Загрязнение         Наблюдательная сеть Биоресурсы          Гидрометеорология   Лоция               Международные связи Опасные явления     Общие сведения      Методы              Вода
©