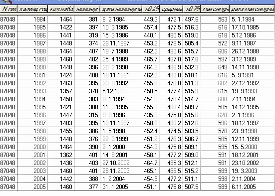
Межгодовая изменчивость среднего уровня моря. Мудьюг