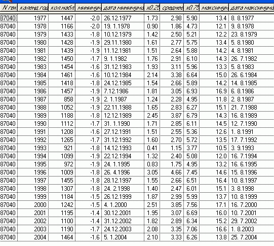
Межгодовая изменчивость температуры воды. Жижгин